Applied Physics unveils a new type of warp drive—a theoretical method of space travel that complies with general relativity and operates at a constant subluminal speed without requiring unphysical forms of matter.
They have created the Warp Factory which is open source software for testing out Warp drive designs. Warp Factory is one of the most significant advances in warp field research to date since it offers researchers a virtual simulation suite like those enjoyed by engineers in advanced aerospace and automotive design.
They have also created the Warp Fund, established by the Advanced Propulsion Laboratory ® (APL) at Applied Physics, aims to fund the advancement of warp field mechanics. Following the announcement of Physical Warp Drives, APL is proud to provide the scientific community with $500,000 USD in Phase I warp grants.
Known as the “Constant-Velocity Subluminal Warp Drive,” this model eliminates the need for the previously hypothesized “exotic” or negative forms of energy. By integrating a stable shell of ordinary matter with the shift vector of an Alcubierre-like drive, Applied Physics has developed a “warp bubble” capable of moving objects rapidly within the bounds of light speed.
This breakthrough represents the first numerical implementation of physical warp drives, made possible using the Warp Factory analysis tool developed at Applied Physics. Although this design requires significant energy, it demonstrates that warp effects can be achieved using conventional matter while adhering to known energy constraints. Applied Physics continues to make progress as humanity embarks on the Warp Age.
This a new warp drive design for traveling up to the speed of light but not beyond the speed of light. The breakthrough with the new design is that unlike previous warp drives this does not need any materials that are currently believed to be impossible. There is no need for negative energy which is not known to exist. However, the design does require energy densities and control of matter and energy at levels far beyond our current capabilities.
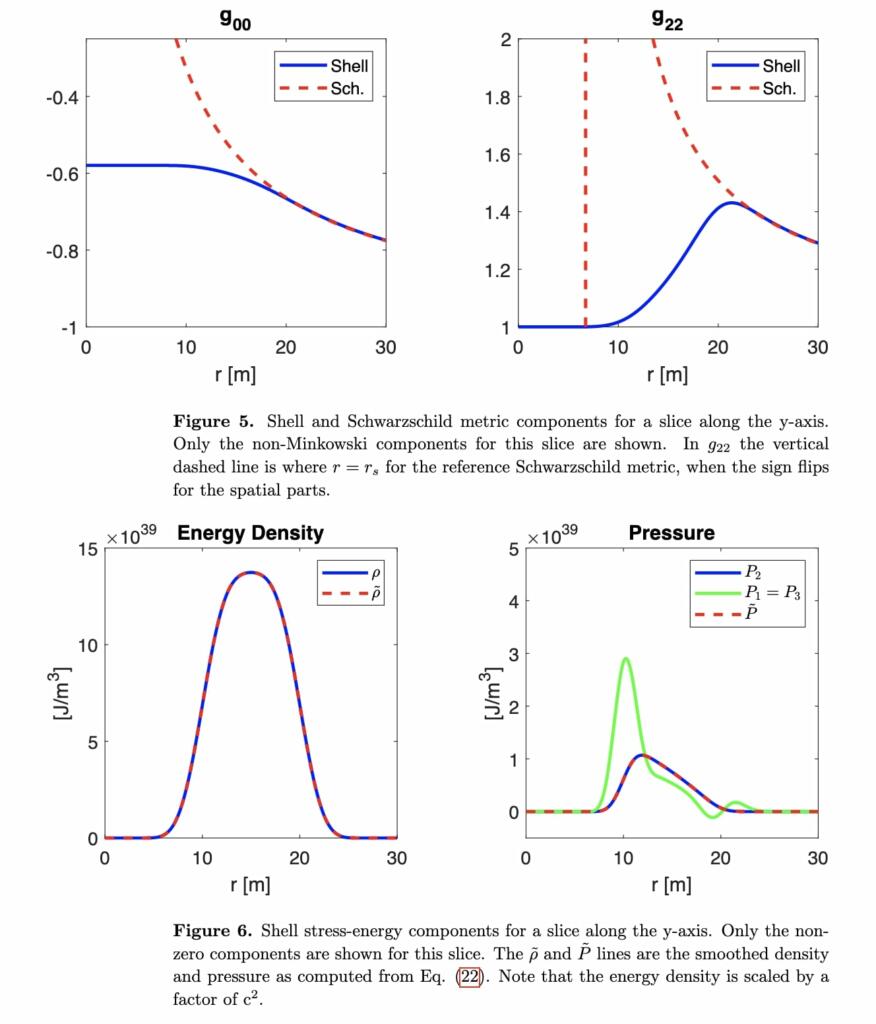
Warp drives are exotic solutions of general relativity that offer novel means of transportation. In this study, we present a solution for a constant-velocity subluminal warp drive that satisfies all of the energy conditions. The solution involves combining a stable matter shell with a shift vector distribution that closely matches well-known warp drive solutions such as the Alcubierre metric.
They generate the spacetime metric numerically, evaluate the energy conditions, and confirm that the shift vector distribution cannot be reduced to a coordinate transformation. This study demonstrates that classic warp drive spacetimes can be made to satisfy the energy
conditions by adding a regular matter shell with a positive ADM mass.
The likely key ingredients to a physical warp drive solution can be simply stated as:
(i) The asymptotically flat spacetime should have a positive ADM mass.
(ii) Generally, much larger positive energy density than both pressure and momentum flux in the non-vacuum warp bubble, as measured by Eulerian observers.
(iii) Subluminal speeds
These physical ingredients were the guiding focus of the solution constructed in the paper.
To find a physical solution, they utilize a moving matter shell as the foundation metric for the warp drive. This solution features a flat interior with an asymptotically-flat Schwarzchild solution outside the shell. The shell solution will be constructed in comoving coordinates in which the metric tensor does not depend on time.






Brian Wang is a Futurist Thought Leader and a popular Science blogger with 1 million readers per month. His blog Nextbigfuture.com is ranked #1 Science News Blog. It covers many disruptive technology and trends including Space, Robotics, Artificial Intelligence, Medicine, Anti-aging Biotechnology, and Nanotechnology.
Known for identifying cutting edge technologies, he is currently a Co-Founder of a startup and fundraiser for high potential early-stage companies. He is the Head of Research for Allocations for deep technology investments and an Angel Investor at Space Angels.
A frequent speaker at corporations, he has been a TEDx speaker, a Singularity University speaker and guest at numerous interviews for radio and podcasts. He is open to public speaking and advising engagements.
>>> Read full article>>>
Copyright for syndicated content belongs to the linked Source : Next Big Future – https://www.nextbigfuture.com/2024/06/breakthrough-computational-warp-drive-design-without-needing-negative-energy.html





























